Validation Case: Harmonic Analysis of a Straight Beam - reference results

Hi,

I’m taking a closer look at the Validation Case: Harmonic Analysis of a Straight Beam. I’ve noticed something strange regarding the reference solutions. For example, let’s take case B4 (bending with damping). The simulation result for the displacement in the Y axis is -2.0924E-02 m and the analytical result is stated to be -2.1020E-02 m in Table 6. However, in the referenced pdf document, the result for this case seems to be 1.746E–02 m.


Is that a mistake or just my misinterpretation ?

For tensile cases, there are no such differences.

Hi @FEA_Enthusiast,

Thanks for posting your question!
That’s a really great point! The results that you see in Code_Aster documentation are the numerical results, and the results that you see in our table for the SHLL101 lines are all the analytical results given by Euler-Bernoulli modeling (not the ones obtained with Code Aster in the reference doc).
We have already updated the page with this information, so please let us know if you have any other question to clarify, and thanks once again for this great observation!

best,

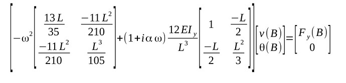
Thank you for the reply. I used the equation from the code_aster document:

with the data from that document and from the Simscale example (some data like frequency was missing in the pdf). The equation seems to be incomplete. I think that omega^2 should be multiplied by mass per unit length so that the units match. Then the displacement in the B4 case is 0.0175 m which is in agreement with the value in the table in that code_aster document (0.01746 m). But I don’t know how to obtain the value given in the table on your website as SHL101 (0.02102 m). Can you tell me exactly how it was obtained ? Was the equation modified somehow ?