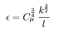
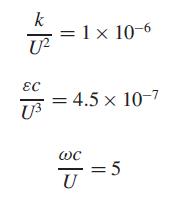
Initial Values for Turbulence Coefficients

I usually use the tools you have mentioned, but bear in mind that those equations were developed for pipes. Thus, you may also use the reference length of your object in those equations (e.g., the chord of the airfoil). In internal engine applications we use the average piston speed and the cylinder bore as references.

5 Likes