Hi there,
My goal is to calculate the power of the fan based on the output result of a momentum source. I have downloaded the results, and located a result file in the final time stamp folder–>uniform–>momentumSource_0_0Properties. In this text file, it gives a gradient value. I want to make sure I’m interpreting this correctly. This is the change in momentum over the distance in the direction of the flow prescribed by the momentum source?
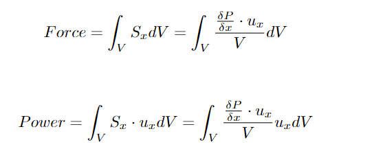
To calculate power, I have done a unit analysis and applied basic laws to derive the following equations. Where S_x represents a source term, and dP/dx represents the gradient of momentum given by the result file. u_x is the normal velocity through the momentum source.
When I calculate using the above equations, I’m getting far lower values than I am expecting if I extract the pressure/velocity result on the inlet and outlet and calculate using this equation. In this case, I have placed a porous media in front of the momentum source, so the fan is used to overcome the pressure drop induced by the porous media.
Do you have any suggestions on a better way to compute fan power consumed by the momentum source?
Thank you!


